江蘇鵬飛集團股份有限公司官網
水泥生產工藝技術員必懂的常見計算案例(一)
2022-01-13

水泥生產工藝技術員必懂的常見計算案例(一)

分享到:
1、φ4.2*12m磨機鋼球級配方案是Ⅰ倉:φ100mm的4.5t,φ90mm的10.25t,直徑80mm的38.75t,φ70mm的20.80t,φ60mm的5.70t;Ⅱ倉:φ60mm的7.40t,φ50mm的8.75t,φ40mm的34.80t,φ30mm的77.0t,求Ⅰ、Ⅱ倉的平均球徑。
2、磨機正常運轉后,分別在出磨斜槽、粗粉斜槽及細粉斜槽各取5個樣,其0.08mm篩孔平均篩余分別是34.42%,46.55%,6.46%,求其循環負荷率和選粉效率。
3、一臺磨機第一次裝入研磨體的質量是210t,中間無補球,經過粉磨10萬噸水泥后清倉,清倉后研磨體的總質量為190t(不含碎球和過小的球),求該種研磨體球耗。
4、已知某φ3.5m磨機襯板的厚度為0.05m,一倉長2.625m,二倉2.3625m,三倉5.09m,求該磨機的有效內徑和有效容積。
5、某一磨機的臺時產量為75t/h,回磨的粗粉為165t/h,求該磨機的循環負荷率。
6、已知磨機內研磨體的球耗是0.120kg/t熟料,當生產5.0萬噸水泥時,磨機應添加多少研磨體,方能達到預期效果?
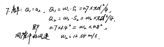
7、磨機有效直徑3.4m,測其風速為0.7m/s,假設磨尾無漏風,磨尾風管直徑為800mm,求風管中風速。
8、某廠水泥樣品50g,經0.08mm方孔篩篩析,達到規定時間所剩料量為3g,問該樣品是否合乎生產指標要求?(要求水泥細度<4%)
9、某廠水泥磨的通風量為1000m3/min,磨機規格為φ4.5*15m,試計算磨內的風速大約是多少?
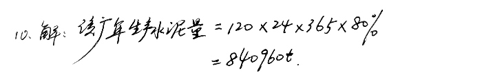
10、某廠水泥磨臺時產量為120t/h,問運轉率為80%時,該廠一年可以生產多少水泥?
上一篇:五氧化二釩回轉窯回收工藝介紹
下一篇:立磨基礎知識
亚洲福利视频